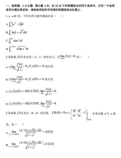
2020考研数学一真题【完整版】

2020/7/1 11:13:14 来源: 网络
分享:

数一1.jpg

数一2.jpg

数一3.jpg

数一4.jpg

数一5.jpg

  2025考研人数达388w,考研热度依旧火热!如何备战2026考研?哪个考研专业适合自己?在职考生如何备考?考研知识点繁多,择校困难大,和海天考研咨询老师聊一聊。网课面授多项选,专业辅导1对1全年集训随时学!

中间广告图.jpg

活动专题